Page 30 of 46
Re: harvs ek 327 wagon
Posted: Tue Sep 15, 2020 10:19 am
by Harv
sgo wrote: Tue Sep 15, 2020 9:32 amI would have thought that shorter steering arms would reduce your turns lock to lock and the responsiveness? Perhaps experiment with them, early torana are short?
I've got to be a little careful with the steering arms, as they are certified as part of the CRS front-end, including the bump-steer assessment. According to CRS:
"Bolt on the supplied steering arm, these have been reshaped to give better toe-in on turns and should not be reshaped further. This reshaping has been done on a special jig using a special technique and should clear standard wheel offset. Your overall lock will be down slightly on standard. If having trouble getting clearance from tyres, spacers can be turned up and installed using longer bolts between arm and stub axle, but don't go more than 5/8th" (15mm.)".
Cheers,
Harv
Re: harvs ek 327 wagon
Posted: Tue Sep 15, 2020 10:29 am
by FireKraka
SGO it all has to do with the Ackerman Principle of steering have a read and it may answer some questions.
Regards
Neil
Re: harvs ek 327 wagon
Posted: Tue Sep 15, 2020 11:17 am
by Errol62
Steering lock may be down SLIGHTLY wtf
Sent from my SM-G973F using Tapatalk
Re: harvs ek 327 wagon
Posted: Tue Sep 15, 2020 4:19 pm
by sgo
Re Ackerman, with a front mount rack and front steering arms I can't see how you can get correct Ackerman anyway?
Shorter arms would help the turning problem, but sorting out bump steer is another matter.
Re: harvs ek 327 wagon
Posted: Tue Sep 15, 2020 4:30 pm
by sgo
[image][/image]

- IMG_2019.jpg (39.24 KiB) Viewed 1021 times
Holden steering arms.
Re: harvs ek 327 wagon
Posted: Tue Sep 15, 2020 5:24 pm
by Harv
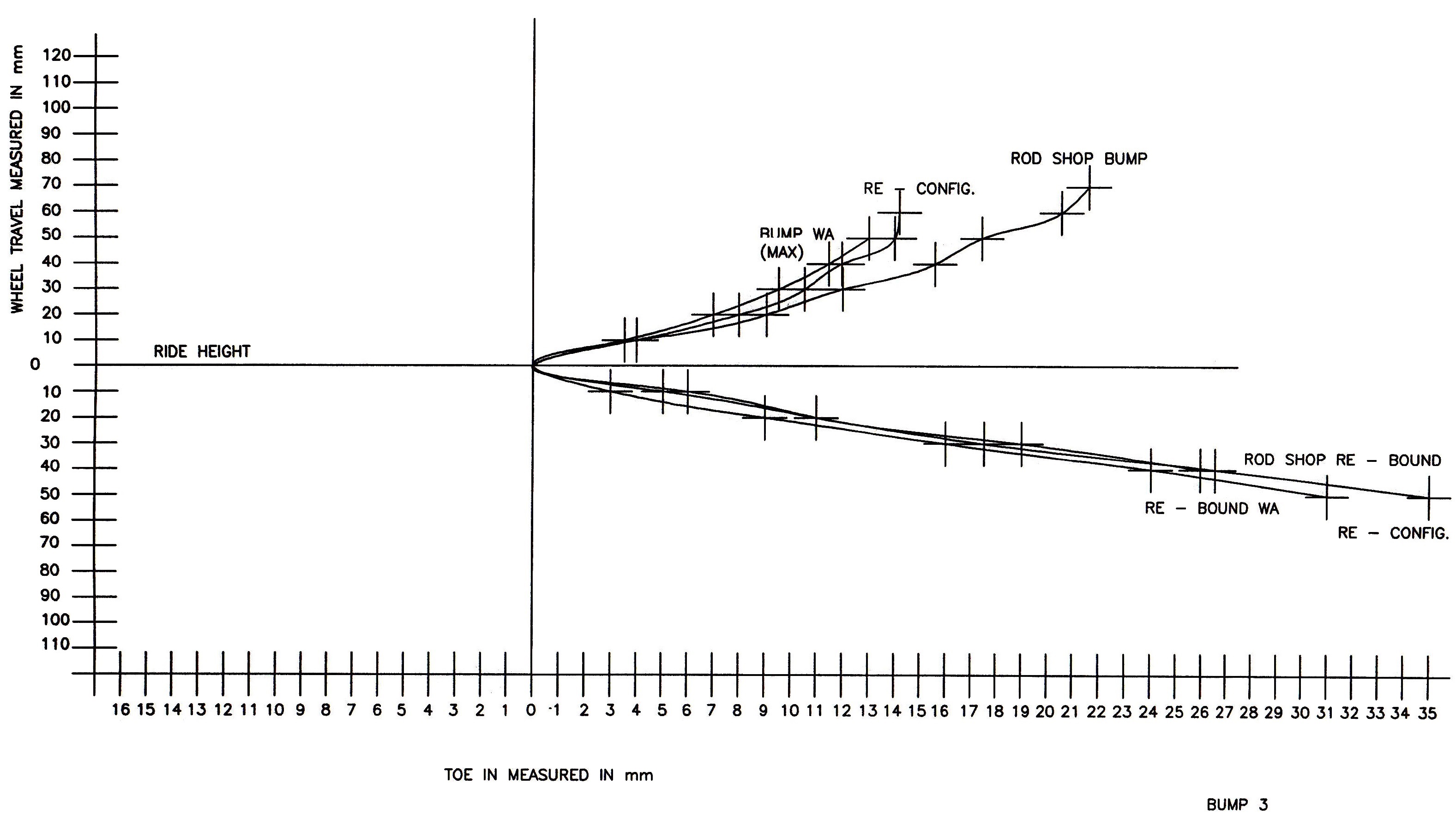
The CRS bumpsteer is not too bad - bear in mind that they modify both the steering arms and the lower control arms.

- CRS bump steer assessment.jpg (499.9 KiB) Viewed 1015 times
Cheers,
Harv
Re: harvs ek 327 wagon
Posted: Tue Sep 15, 2020 6:35 pm
by EK283
Many many moons ago I spoke to god himself Mr Hadfield, mainly regarding the front ends he was just starting to make.
His story was all about bump steer and that reflects the chart Harv has posted. To achieve that he had to shorten the rack width and modify the steering arms which made them longer. (Bump steer is the movement of the wheel toe in and out as the suspension moves up and down, the effect is wheels pointing inwards and outwards opposite to each other and inducing unwanted movement on the road surface)
The trade off is the steering is limited lock to lock and the altered ratio that the longer arms create. The longer the steering arms the easier it is on the steering wheel but the amount of turns needed to turn the wheels is increased. Lots of calculations trial and error needed to get it right. There is also different ratios in steering racks so this plays into as well.
Ackerman angle is the different angle the wheels end up when turning a corner, for example the right wheel relative to the car body may turn at 60 deg when the left wheel may turn at 66 deg. This is hard to sort especially when toying with different length arms etc.
It's all a bit hairy if its not done right, but there are lots of smart people building this sort of stuff these days with the help of cad, pre determined angles and good old know how of what works and what doesn't.
Im sure you will get used to it in no time Harv.
Greg
Re: harvs ek 327 wagon
Posted: Tue Sep 15, 2020 7:15 pm
by Harv
I’m still fascinated by point, sink boot, roar down the road. Plenty of time to learn how to steer
Cheers,
Harv
Re: harvs ek 327 wagon
Posted: Tue Sep 15, 2020 7:16 pm
by Errol62
8x
That's me refraining from commenting (with some difficulty). R&P steering, harump! Haven't heard much good about it yet.......
Sent from my SM-G973F using Tapatalk
Re: harvs ek 327 wagon
Posted: Thu Sep 17, 2020 1:07 pm
by Harv
Harv wrote: Wed Sep 09, 2020 9:28 amRang the tuner yesterday, and he was none-too-impressed with it having an MSD Ready to Run dizzy. He reckons they are unreliable, and that I would regret having one. For now I am keen just to keep the thing on the road (after all the drama building it), but may have to change the dizzy out at some stage. It's mighty tight though, even with the wiper motor removed.
Karma.
I thought the tuner was mad to question the MSD Ready to Run dizzy. Kept driving the car, ready for the tune-up tomorrow. Put the trailer on, and drove out to Windsor to pick up the leftover parts from Grace's ute's smash repairs. Got out to Londonderry, and put my boot into it coming out of a roundabout. Sluggish, and I started to smell magic smoke. Magic smoke went away, but one minute later I lost all ignition. Popped the exhaust and rolled to a halt. No starty.
Back of nowhere... I could hear banjos

. Wagon got it's first tilt-tray ride home. With COVID in play, you can't ride in the tilt-tray cab, so a wait for a separate cab ride home.

- tilt tray.jpg (118.74 KiB) Viewed 966 times
Quick check last night shows 12V to the coil, no spark. Dizzy has failed, probably cooked a module. If you hear loud swearing from over in WA, it's only me getting the dizzy out.
Cheers,
Harv
Re: harvs ek 327 wagon
Posted: Thu Sep 17, 2020 1:36 pm
by Errol62
Not good mate.

Sent from my SM-G973F using Tapatalk
Re: harvs ek 327 wagon
Posted: Thu Sep 17, 2020 1:38 pm
by FJWALLY
Bummer Harv - hope its an easy fix
Sent from my iPhone using Tapatalk Pro
Re: harvs ek 327 wagon
Posted: Fri Sep 18, 2020 10:05 pm
by Mick
Harv wrote: Tue Sep 15, 2020 5:46 am
Mick wrote: Mon Sep 14, 2020 10:24 pmthe steering ratio is out of whack say to turn a corner that would normally take a quarter turn this needs a half turn or more (curves are ok)
The CRS front-mount racks (like my wagon) do this too. The first couple of drives are unnerving... you get half way around a corner before you realise that you need to turn a bit more. You get used to it after a while.
Could be worse, I managed to take a wrong turn yesterday picking up the motor from Joe in the inner city. Narrow streets, dark, the poor turning circle on the wagon and a trailer didn't stack up well. Had to make a 300-point u-turn without hitting anything (came close to the UberEats rider, though a loud, wedged-in wagon made him pause for thought

).
Cheers,
Harv
as per my original comment though there must be something they have changed or different ways to set them up as i've had an FC sedan an FC ute and a HR van all with hadfield front mounts all were quite good ratio wise only thing i could really fault about them was turning circle but the V8 under the bonnet compensated for that

the HR was the best though it had great steering
Re: harvs ek 327 wagon
Posted: Thu Sep 24, 2020 4:43 pm
by Harv
Getting closer on the wagon repairs.
Got the crank turning tool installed with some bodgy bolts (no idea where I left the three proper, countersunk, 8.8 bolts). Turns over nicely. Everything now pointing to #1 in the dizzy.
Dizzy removed, suprisingly easy. Once the gear is disengaged, there is not much internal shaft support inside the block holding the dizzy upright. Got a good lean on it, and it came out from under the cowl.
Something has let go inside the cap... there is some black, oily looking stuff near the periphery (circled in purple in the photos below). Looks like sump oil, but too black for this engine, doesn't smell oily, and has not come from outside the dizzy. No idea what the "bits" are that I am looking at, but assume the black stuff is what occurs when the magic smoke comes out. Either that, or someone left the cap sitting in a pool of oil during the engine rebuild then put it back on without cleaning it.

- Magic smoke residue.jpg (160.49 KiB) Viewed 915 times
Looks like the solution to the problem is to replace the dizzy module with a MSD Streetfire box (keep the dizzy non-electronic bits though). The Streetfire is a simpler version of the fancy 6AL type boxes, and a lot easier to replace/troubleshoot. Got a Streetfire box on it's way from WA, and a bloke lined up to do the dizzy butchery/electronics sorcery.
Cheers,
Harv
Re: harvs ek 327 wagon
Posted: Thu Sep 24, 2020 6:48 pm
by ardiesse
Harv,
The "top" layer, with the two hex nuts and the black/blue unit, appears to be the sensor (Hall effect?).
The "bottom" layer, potted in black, with two Phillips screws securing it to the distributor body appears to be where the power electronics were. Past tense, of course, because the magic smoke came out. The black part shows the tell-tale signs of overheating, I think.
Electronic stuff is good, but only as long as it works.
There was a guy by the name of Kettering, who designed an ignition system without troublesome electronics. Troubleshooting can be performed by eye, and servicing with the aid of a file and feeler gauges . . .
It goes against the grain most likely, but as catastrophe spares, could I suggest a distributor with (oh no) contact points? I bought a new SBC points-dizzy from American Autos a few years back.
Rob